算法与数据结构梳理
介绍
算法题在公司面试比重为何逐渐提升 ?
公司业务本身的需求:
数据量越来越大,用户越来越多,程序上微小的改进,能帮公司省很多资源和钱。
比如谷歌高薪聘请高水平人才,但他们也只是做很简单的业务,但这对公司来讲是最省钱的。最贵的才是最省的。
糙快猛的年代过去了,市场瓜分完毕,各公司需要守好自己的领地,在上面精耕细作,需要很好的程序设计人才。
作为选拔性考试能够选出需求的人才:
- 有门槛,需要大量练习,是对绝对的代码能力和耐心努力的证明
- 选出聪明的人:智力程度,学习迁移能力
- 之前的考试内容比如框架基础知识,大家都具备了,且通过查询理解即可。所以需要新的考试来选拔人才。
如何高效学习算法与数据结构 ?
chunk it up: 切碎知识点, 形成知识块和知识结构,通过结构才能进入长期记忆
- deliberate practicing:刻意练习 针对弱点痛点练习,走出切题舒适区
- 做自己不擅长的题目
- 一开始不熟悉的数据结构和算法练习是痛苦的,但是经过一定时间,会逐渐变为舒适区,这个时候就需要去练习新的算法了。
思考所有解法,选择复杂度最低的
- feedback 反馈及时(code review)
- 主动型反馈:对照好的答案
- 被动:别人给你指出问题
- 写完后看运行时间,排位;看solution、discussion
- 某些固定的算法模版,需要多练习并记忆背诵(七分理解,三份记忆)
- 很多搞竞赛的选手,心中有大量模版
- 对常用算法模版,七分理解,三份记忆,熟能生巧
- 做过的题目记得复习,典型题目最少需要写5-6遍。
注意:
三分学,七分练; 坚持刻意练习,重点在不会的题目
想所有可能解法,选最佳的;时间空间复杂度
算法和数据结构是内功,重在练习
不要认为某种问题可以套用某种数据结构,不要照搬,要思考,没有一成不变的方法。
做过的题目要返回复习,重新在写,常用模版需要熟练记忆
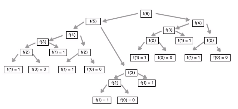
时间复杂度 | Fibonacci Array
定义:对于输入n,程序运行次数
益处:数据越大,时间复杂度越重要,优化一点点,都能省大量时间。
例子
Fibonacci array:F(n) = F(n-1) + F(n-2); F(0) = 1, F(1) = 1
方法一:递归,O(2^n), 问题重复计算
递归:
1
2
3
4
5
6
7
8
9
10
def fib(self, n):
"""
:type n: int
:rtype: int
"""
if n == 0:
return 0
if n == 1:
return 1
return self.fib(n-1) + self.fib(n-2)
方法二:不断将前两个数累加 O(n)
1
2
3
4
5
6
7
8
9
10
11
12
13
def fib(self, n):
"""
:type n: int
:rtype: int
"""
if n == 0 or n == 1:
return n
p,q,r = 0,0,1
for i in range(2,n+1):
p, q = q, r
r = p + q
return r
数据结构
数据结构与算法之间是动态平衡的关系,根据数据结构特点、需要解决的问题,进行匹配。
Array
在计算机中连续存储,由内存控制器存储地址,根据地址可以获取该地址的数值。=⇒ 指定下标,就能获取数值 O(1)
获取:O(1)
增加:O(n)
删除:O(n)
(第一个元素:O(1),最后一个元素:O(n),平均:O(n/2),也就是 O(n))
两数之和
1
2
3
4
5
6
7
# 固定一个数,寻找另一个数,使用 dict 来存储 O(n)
def twoSum(arr, target):
hash_map = dict()
for i,x in enumerate(arr):
if target - x in hash_map:
return i, hash_map[target-x]
hash_map[x] = i
Linked List
查找:O(n)
增删:O(1)
考察的并不是思维能力,而是实现能力,因为链表题目思维上相对直接简单
1
2
3
4
5
# Definition for singly-linked list.
# class ListNode(object):
# def __init__(self, val=0, next=None):
# self.val = val
# self.next = next
反转链表
1
2
3
4
5
6
7
8
9
10
11
12
13
14
15
16
17
18
19
20
21
class Solution(object):
def reverseList(self, head):
"""
:type head: ListNode
:rtype: ListNode
"""
node = head
preNode = None
while node :
tmpNode = node.next
node.next = preNode
preNode = node
node = tmpNode
return preNode
# 示范代码
def reverseList(self, head):
cur, prev = head, None
while cur:
cur.next, prev, cur = prev, cur,cur.next
return prev
24.反转链表对
以4个节点为一个单元,将其中两节点反转的过程画出来。
注意:self 的使用
1
2
3
4
5
6
7
8
9
10
11
12
13
class Solution(object):
def swapPairs(self, head):
"""
:type head: ListNode
:rtype: ListNode
"""
prev, prev.next = self, head
while prev.next and prev.next.next :
a = prev.next
b = a.next
prev.next, a.next, b.next,prev = b, b.next, a, a
# prev = a
return self.next
LinkList Cycle
解法:1. 使用set存储访问过的节点; 2. 龟兔赛跑 —— 快慢指针(终止条件:两指针相遇)
1
2
3
4
5
6
7
8
9
10
11
12
13
14
15
16
17
18
19
20
21
22
23
class Solution(object):
def hasCycle(self, head):
"""
:type head: ListNode
:rtype: bool
"""
# visited = set()
# node = head
# while node:
# if node in visited:
# return True
# else:
# visited.add(node)
# node = node.next
# return False
fast, slow = head, head
while fast and slow and fast.next:
fast = fast.next.next
slow = slow.next
if fast == slow:
return True
return False
LinkList Cycle II
输出环形起点位置
1
2
3
4
5
6
7
8
9
10
11
12
13
14
15
16
17
18
19
20
21
22
23
24
25
26
27
class Solution(object):
def detectCycle(self, head):
"""
:type head: ListNode
:rtype: ListNode
"""
# visited = set()
# node = head
# while node:
# if node in visited:
# return node
# else:
# visited.add(node)
# node = node.next
# return None
fast,slow = head, head
while fast and fast.next:
slow = slow.next
fast = fast.next.next
if slow == fast:
fast = head
while fast != slow:
slow = slow.next
fast = fast.next
return slow
return None
算法原理
l < d:
l > d:
Reverse linklist in k groups
思考过程中遇到的问题:
- 反转后如何返回head
- 如何将前一个group的尾结点连接到下一个group的首节点
- 如何判断末尾是否有 k 个节点用来逆转
思维关键点:
- group 内部就是正常的反转
- 关键是 group 之间的关系,反转之后,group 的头尾如何跟下一个group 链接
- 画图能更清晰看出模式
1
2
3
4
5
6
7
8
9
10
11
12
13
14
15
16
17
18
19
20
21
22
23
24
25
26
27
28
29
30
31
32
33
34
35
# Definition for singly-linked list.
# class ListNode(object):
# def __init__(self, val=0, next=None):
# self.val = val
# self.next = next
class Solution(object):
def reverseKGroup(self, head, k):
"""
:type head: ListNode
:type k: int
:rtype: ListNode
"""
dummy = ListNode(0,head)
gprev = dummy
while True:
kth = self.getKth(gprev, k)
if kth == None:
break
gend = kth.next
gstart = gprev.next
prev = gprev.next
curr = prev.next
while curr != gend:
curr.next, prev, curr = prev, curr, curr.next
gstart.next, gprev.next, gprev = curr, prev, gstart
return dummy.next
def getKth(self, curr, k):
while k > 0:
if curr == None:
return curr
curr = curr.next
k -= 1
return curr
递归解法
下一个 group 返回的 prev 就是该group 的起点,将上一个group的终点(head)与其连接。 注意递归返回的值极其赋值
1
2
3
4
5
6
7
8
9
10
11
12
13
14
15
16
17
18
19
20
21
22
23
24
25
26
27
def reverseKGroup(self, head, k):
"""
:type head: ListNode
:type k: int
:rtype: ListNode
"""
if head == None:
return
curr = head
n = 1
while curr.next:
curr = curr.next
n += 1
if n < k:
return head
prev, curr = None, head
for _ in range(k):
curr.next, prev, curr = prev, curr, curr.next
head.next = self.reverseKGroup(curr, k)
return prev
Stack & Queue
堆:
- 查找最大/最小元素:O(1)
查找其他元素:O(n)
增加元素:O(log n) 因为需要将新元素插入到堆的末尾,然后通过比较和交换来调整堆的结构,这个过程称为上浮(percolate up)。
- 删除最大/最小元素:O(log n) 因为需要将根节点的元素删除,然后将最后一个元素移动到根节点,通过比较和交换来调整堆的结构,这个过程称为下沉(percolate down)。
- 删除其他元素:O(n)
队列:
- 查找队头元素:O(1)
查找其他元素:O(n)
增加元素:O(1)
- 删除队头元素:O(1)
- 删除其他元素:O(n)
FILO & FIFO
Implement Queue using Stacks
注意事项:
需要在out_stack 为空时,才执行将 in_stack 导入out_stack操作 避免 push push push pop push 这样的例子
在 pop 之前调用 peak 操作
1
2
3
4
5
6
7
8
9
10
11
12
13
14
15
16
17
18
19
20
21
22
23
24
25
26
27
28
29
30
31
32
33
34
35
36
37
38
39
class MyQueue(object):
def __init__(self):
self.in_stk = list()
self.out_stk = list()
def push(self, x):
"""
:type x: int
:rtype: None
"""
self.in_stk.append(x)
def pop(self):
"""
:rtype: int
"""
self.peek()
return self.out_stk.pop()
def peek(self):
"""
:rtype: int
"""
if not self.out_stk:
while self.in_stk:
self.out_stk.append(self.in_stk.pop())
return self.out_stk[-1]
def empty(self):
"""
:rtype: bool
"""
return not self.in_stk and not self.out_stk
Implement Stack using Queue
思路:新来的数放入空队列,然后将另一个队列的数放进来,能保证后来的数在队列前面。
用 deque 实现:popleft 是将queue前面的数弹出,在队列尾部增加新数之后, 使用 popleft 将前面的数弹出放入尾部,调换顺序。
用 list 实现,pop 时弹出尾部数即可。
1
2
3
4
5
6
7
8
9
10
11
12
13
14
15
16
17
18
19
20
21
22
23
24
25
26
27
28
29
30
31
32
33
34
35
36
37
38
39
class Stack:
def __init__(self):
self._queue = collections.deque()
def push(self, x):
q = self._queue
q.append(x)
for _ in range(len(q) - 1):
q.append(q.popleft())
def pop(self):
return self._queue.popleft()
def top(self):
return self._queue[0]
def empty(self):
return not len(self._queue)
# list 实现
class MyStack:
def __init__(self):
self.list = []
def push(self, x: int) -> None:
self.list.append(x)
def pop(self) -> int:
pop = self.list[-1]
self.list = self.list[:-1]
return pop
def top(self) -> int:
return self.list[-1]
def empty(self) -> bool:
return len(self.list) == 0
vaild parentheses
思路:如果是左括号,入栈,如果是右括号,和栈顶元素对比,能匹配,则pop,并继续。不能则返回false。
最后检查栈是否为空,为空则返回 true。
1
2
3
4
5
6
7
8
9
10
11
12
13
14
class Solution(object):
def isValid(self, s):
"""
:type s: str
:rtype: bool
"""
char_map = {')':'(', ']':'[', '}':'{'}
deque = list()
for x in s:
if x not in char_map:
deque.append(x)
elif not deque or char_map[x] != deque.pop():
return False
return not deque
代码详解:如果不是右括号,入栈;否则如果栈空或者新元素未与栈顶元素匹配,返回false。最后根据栈是否为空返回。
20. 有效的括号
左括号:append
右括号:查找,匹配则pop,不匹配(或者堆栈为空)返回 false
1
2
3
4
5
6
7
8
9
10
11
12
13
14
15
16
17
18
19
20
21
22
23
24
25
26
class Solution(object):
def isValid(self, s):
"""
:type s: str
:rtype: bool
"""
judgemap = {'(': ')', '{': '}', '[': ']'}
strs = []
for a in s:
if len(strs) > 0 and judgemap.get(strs[-1]) == a:
strs.pop()
else:
strs.append(a)
return not strs
def isValid_2(self,s):
judgemap = {')':'(', '}':'{', ']':'['}
stack = []
for c in s:
if c not in judgemap:
stack.append(c)
elif not stack or judgemap[c] != stack.pop():
return False
return not stack
Priority Queue
正常顺序进入,但以优先级出。优先级是一个属性,比如按最大最小出现次数最多等方式出。 eg:在工作中,需要给事情定优先级,从事务队列中选择优先级最高的开始进行。
实现: 二叉搜索树,堆。(不需要手写实现,已纳入标准库) 堆:最大最小堆;有多种实现方式,其中斐波拉契及 strict fibonacci 效果最好。
返回第K大的元素
将问题简化:如果是返回最大元素,记录最大元素,然后跟新元素比较,更新最大元素。
所以返回第K大元素,则记录前K大的元素。
思路:构建k个元素的最小堆,当新元素大于堆中最小元素时,弹出最小元素,将新元素加入。当新元素小于堆中的最小元素时,堆不变。最后返回堆的最小元素。
实现:
- 优先队列(最小堆)heapq(O(logK))
- 每次对k个元素进行排序 (O(KlogK))
- 相比排序,堆操作快 K 倍
1
2
3
4
5
6
7
8
9
10
11
12
13
14
15
16
17
18
19
20
21
22
23
24
25
import heapq
class KthLargest(object):
def __init__(self, k, nums):
"""
:type k: int
:type nums: List[int]
"""
self.heap = []
self.k = k
for x in nums:
self.add(x)
def add(self, val):
"""
:type val: int
:rtype: int
"""
if len(self.heap) < self.k:
heapq.heappush(self.heap, val)
elif self.heap[0] < val:
heapq.heappop(self.heap)
heapq.heappush(self.heap, val)
return self.heap[0]
239. 滑动窗口最大值
用大顶堆实现思路:
- 将元素放入大顶堆中,当元素个数等于k时,将堆顶元素加入结果
- 当堆顶元素的索引在滑动窗口之外时,删除堆顶元素;并不需要按照滑动窗口来删除指定元素,而是持续弹出过期的堆顶元素即可。
注意:将元素变为负数,模拟大顶堆
1
2
3
4
5
6
7
8
9
10
11
12
13
14
15
16
17
def maxSlidingWindow(nums, k):
max_heap = []
result = []
for i in range(len(nums)):
# 将当前元素加入堆,注意用负值存储以模拟大顶堆
heapq.heappush(max_heap, (-nums[i], i))
# 检查堆顶元素是否过期(索引超出当前窗口范围)
while max_heap[0][1] <= i - k:
heapq.heappop(max_heap)
# 当窗口形成时(i >= k-1),记录当前窗口最大值
if i >= k - 1:
result.append(-max_heap[0][0]) # 取负值恢复原值
return result
- 窗口中存下标
- 将过期的下标删除
- 保证最左边的元素是最大的,将window中小于新加入的元素的下标删除
- 从右边开始遍历
1
2
3
4
5
6
7
8
9
10
11
12
13
14
def maxSlidingWindow(self, nums: List[int], k: int) -> List[int]:
if not nums: return []
window, res = [], []
for i,x in enumerate(nums):
if i >= k and window[0] <= i-k:
window.pop(0)
while window and nums[window[-1]] <= x:
window.pop()
window.append(i)
if i >= k-1:
res.append(nums[window[0]])
# print(i, window)
return res
Map & Set | 计数 查询
hashMap 实现原理:使用key作为hash函数的自变量,得出因变量,即是value所在的位置指针。
eg:hash函数设置为,将key的字母对应的 asics 码相加,除以30取模,得出余数,就是位置。
优点:查找时间为 O(1)
碰撞:使用链表,同一个位置作为链表头结点,后续接上同一位置的value。
Map:查询和插入都是 O(1)
list:插入:O(1),查询:O(N)
set:插入与查询 O(1) ;【常用hashMap或者二叉树实现】
Map 与 Set 的两种实现方式:
| Hash | Tree | |
|---|---|---|
| Map | HashMap 查询:O(1) | TreeMap 有序储存 查询:O(logN) |
| Set | HashSet 查询:O(1) | TreeSet 查询:O(logN) 有序储存 |
python dict 默认就是 hashMap,使用treeMap需要使用第三方库;hashSet 同理。
242 Valid Anagram
1
2
3
4
5
6
smap,tmap = {},{}
for item in s:
smap[item] = smap.get(item, 0) + 1
for item in t:
tmap[item] = tmap.get(item, 0) + 1
return smap == tmap
在Python中,== 运算符用于比较两个值是否相等。当用于比较两个字典时,== 运算符会检查两个字典是否包含相同的键值对。
Two Sum(set 解法)
1
2
3
4
5
6
7
class Solution(object):
def twoSum(self, nums, target):
s = set()
for i,x in enumerate(nums):
if target - x in s:
return(i, nums.index(target-x))
s.add(x)
各数据结构时间复杂度对比
ThreeSum
描述:找出数组中所有加和为零的三个数,不重不漏。
主要问题:返回的结果中有重复的组合
方法一
解决:将输入数组排序,如果遍历的数和前一个数相同,则跳过。
思路:两个for循环,选出两个数,然后用 set 查询第三个数是否在剩余数组之中。
关键点:判断第三个数是否在数组中时,使用 hashmap 结构,通过测试
1
2
3
4
5
6
7
8
9
10
11
12
13
14
15
16
17
18
19
20
21
22
23
24
class Solution:
# 在判断第三个数是否在数组中时,使用 hashmap 结构,通过测试
def threeSum(self, nums: List[int]) -> List[List[int]]:
res = []
nums.sort()
ms = {}
for i,x in enumerate(nums):
ms[x] = i
for i in range(len(nums)):
if nums[i] > 0:
break
if nums[i] == nums[i-1] and i != 0:
continue
for j in range(i+1, len(nums)):
if nums[j] > -(nums[i] + nums[j]):
break
if nums[j] == nums[j-1] and j != i+1:
continue
if -(nums[i] + nums[j]) in ms and ms[-(nums[i] + nums[j])] > j:
res.append([nums[i],nums[j],-(nums[i] + nums[j])])
return res
时间复杂度:O(N * N),空间复杂度:O(N),使用了额外的set。
方法二
排序,选出一个数 x 之后,使用两个指针指向剩余数组的头尾,如果两指针的数加和大于 x,右指针向右移动,如图:
1
2
3
4
5
6
7
8
9
10
11
12
13
14
15
16
17
18
19
20
21
22
23
def threeSum(self, nums: List[int]) -> List[List[int]]:
res = []
nums.sort()
for i in range(len(nums) - 2):
if nums[i] == nums[i - 1] and i != 0:
continue
j, k = i + 1, len(nums) - 1
while j < k:
s = nums[j] + nums[k] + nums[i]
if s < 0:
j += 1
elif s > 0:
k -= 1
else:
res.append([nums[i], nums[j], nums[k]])
while j < k and nums[j] == nums[j + 1]:
j += 1
while j < k and nums[k] == nums[k - 1]:
k -= 1
j += 1
k -= 1
注意:
- 当左指针大于右指针时停止遍历,避免重复;
- 当三数之和为0时,判断左右指针与相邻元素是否相等,相等则跳过,避免重复。
时间复杂度:O(n), 空间复杂度:O(1)
4Sum
1
2
3
4
5
6
7
8
9
10
11
12
13
14
15
16
17
18
19
20
21
22
class Solution(object):
def fourSum(self, nums, target):
"""
:type nums: List[int]
:type target: int
:rtype: List[List[int]]
"""
nums.sort()
res = set()
for i, x in enumerate(nums[:-3]):
if i > 0 and x == nums[i-1]:
continue
for j, y in enumerate(nums[i+1:]):
if j > 0 and y == nums[i+j-1]:
continue
d = set()
for k, m in enumerate(**nums[i+1:][j+1:]**):
if target-x-y-m in d:
res.add((x,y,m, target-x-y-m))
else:
d.add(m)
return map(list,res)
注意:第三次循环的数组截取,以及判断前一个元素是否和当前元素相等时的坐标。
使用时看做三个不同数组。
Tree | Binary Tree | Binary Search Tree
树的来源:链表,往回链接到前面的节点
图:树的孩子节点链接回父母节点
树是特殊的链表,图是特殊的树。
平时很少直接使用二叉树,为了便于查找,构建二叉搜索树,即左子节点全部小于根节点,右子节点全部大于根节点,同时左子树,右子树也都是二叉搜索树(也叫二叉排序树)。
查询,插入,删除 平均情况都是 O(logN),最坏情况:O(N)只有一边的孩子节点,退化成链表。
解决最坏情况:平衡二叉搜索树(eg 红黑树等),将链顺序打乱,然后构建更平衡的二叉树,实现复杂,较少使用。
在c++ 和 java 中的二叉搜索树都是用红黑树来实现的。
Validate Binary Search Tree
方法一:中序遍历
如果是二叉搜索树, 按中序遍历,是递增的顺序, 按中序遍历,判断顺序
1
2
3
4
5
6
7
8
9
10
11
12
13
14
15
16
17
18
19
20
# Definition for a binary tree node.
# class TreeNode(object):
# def __init__(self, val=0, left=None, right=None):
# self.val = val
# self.left = left
# self.right = right
class Solution(object):
def isValidBST(self, root):
"""
:type root: TreeNode
:rtype: bool
"""
inOrder = self.inOrder(root)
return inOrder == list(sorted(set(inOrder)))
def inOrder(self, root):
if root == None:
return []
return self.inOrder(root.left) + [root.val] + self.inOrder(root.right)
缺点:list(sorted(set(inOrder))) 耗费时间和空间
改进版:
依旧是中序遍历,但只保留上一次遍历的值,跟当前值比较。
1
2
3
4
5
6
7
8
9
10
11
12
13
14
15
16
class Solution2:
def isValidBST(self, root: Optional[TreeNode]) -> bool:
self.prev = None
return self.inOrder(root)
def inOrder(self, root: Optional[TreeNode]) -> bool:
if root == None:
return True
if not self.inOrder(root.left):
return False
if self.prev and self.prev.val >= root.val:
return False
self.prev = root
return self.inOrder(root.right)
方法二:递归
对于左子树,最大值是
1
2
3
4
5
6
7
8
9
10
11
12
13
class Solution:
def isValidBST(self, root: Optional[TreeNode]) -> bool:
"""
:type root: TreeNode
:rtype: bool
"""
def check(root, min, max):
if root == None:
return True
if root.val >= max or root.val <= min: return False
return check(root.left, min, root.val) and check(root.right, root.val, max)
return check(root, -inf, inf)
每次比较的是跟节点与最大最小值,而最大最小值来源是上一层根节点的val,那如何保证相差多层之间的大小关系 ? 比如:3,4,8,7(左子树按中序遍历)
最近公共祖先
普通二叉树
思路:如果跟节点等于p或q,返回跟节点,否则对左右子树进行搜索,如果左子树没找到,返回右子树,如果右子树没找到,返回左子树;如果在左右子树都找到了,说明根节点就是最近公共祖先。
1
2
3
4
5
6
7
8
9
10
class Solution:
def lowestCommonAncestor(self, root: 'TreeNode', p: 'TreeNode', q: 'TreeNode') -> 'TreeNode':
if root == None:
return None
if root == p or root == q: return root
left = self.lowestCommonAncestor(root.left, p, q)
right = self.lowestCommonAncestor(root.right, p, q)
if left == None: return right
if right == None: return left
return root
二叉搜索树
思路:利用二叉树性质,只在一个子树进行搜索,如果根节点不比 p 和 q 大或小,说明root就是分叉的节点,也就是最近公共祖先。
1
2
3
4
5
6
7
8
9
10
11
12
13
14
15
16
17
18
class Solution:
def lowestCommonAncestor(self, root: 'TreeNode', p: 'TreeNode', q: 'TreeNode') -> 'TreeNode':
if root.val > p.val and root.val > q.val:
return self.lowestCommonAncestor(root.left, p, q)
if root.val < p.val and root.val < q.val:
return self.lowestCommonAncestor(root.right, p, q)
return root
# 非递归写法
def lowestCommonAncestor(self, root: 'TreeNode', p: 'TreeNode', q: 'TreeNode') -> 'TreeNode':
while root:
if root.val > p.val and root.val > q.val:
root = root.left
elif root.val < p.val and root.val < q.val:
root = root.right
else:
return root
字典树| Trie | 单词查找树| 键树
搜索时自动匹配出后续字符,如何根据频次给出匹配字符问题,常用数据结构就是字典树。
208. 实现字典树
1
2
3
4
5
6
7
8
9
10
11
12
13
14
15
16
17
18
19
20
21
22
23
24
25
class Trie:
def __init__(self):
self.children = []
# self.isend = False
# self.root = None
def insert(self, word: str) -> None:
self.children.append(word)
def search(self, word: str) -> bool:
for s in self.children:
if s == word:
return True
return False
def startsWith(self, prefix: str) -> bool:
cnt = len(prefix)
for s in self.children:
if prefix == s[:cnt]:
return True
return False
1
2
3
4
5
6
7
8
9
10
11
12
13
14
15
16
17
18
19
20
21
22
23
24
25
26
27
28
29
30
31
32
33
# 字典方式实现
class Trie:
def __init__(self):
self.root = {}
self.end_word = '#'
def insert(self, word: str) -> None:
node = self.root
for char in word:
node = node.setdefault(char, {})
node[self.end_word] = self.end_word
def search(self, word: str) -> bool:
node = self.root
for char in word:
if char not in node:
return False
node = node[char]
return self.end_word in node
def startsWith(self, prefix: str) -> bool:
node = self.root
for char in prefix:
if char not in node:
return False
node = node[char]
return True
1
2
3
4
5
6
7
8
9
10
11
12
13
14
15
16
17
18
19
20
21
22
23
24
25
26
27
28
29
30
31
32
33
34
35
36
37
38
39
40
41
42
# node 方式
class TrieNode:
def __init__(self):
# 子节点,用字典表示,键为字符,值为 TrieNode 对象
self.children = {}
# 是否为单词的结束节点
self.is_end = False
class Trie:
def __init__(self):
# Trie 树的根节点
self.root = TrieNode()
def insert(self, word: str) -> None:
"""插入一个单词到 Trie 中"""
node = self.root
for char in word:
# 如果当前字符不存在于子节点中,创建一个新节点
if char not in node.children:
node.children[char] = TrieNode()
# 移动到下一个节点
node = node.children[char]
# 标记当前节点为单词的结束
node.is_end = True
def search(self, word: str) -> bool:
"""查找单词是否存在于 Trie 中"""
node = self._find_node(word)
return node is not None and node.is_end
def starts_with(self, prefix: str) -> bool:
"""查找是否存在以 prefix 为前缀的单词"""
return self._find_node(prefix) is not None
def _find_node(self, prefix: str) -> TrieNode:
"""辅助函数:根据前缀找到对应的节点"""
node = self.root
for char in prefix:
if char not in node.children:
return None
node = node.children[char]
return node
优势与局限
- 优势:
- 直接使用字典实现,无需单独定义
TrieNode类,简洁直观。
- 直接使用字典实现,无需单独定义
- 局限:
- 字典存储字符键和值可能会占用较多内存,尤其是当 Trie 树很大时。
- 不如使用自定义节点对象灵活(例如可以添加更多属性)。
示例
node.setdefault(char, {}) 返回的是node的引用(类似于c++指针概念),所以后续修改node,会作用于root。
212. 单词搜索
思路:对单词构建字典树,然后遍历表格,在表格中搜索是否有符合字典树中的单词。
理解:把图画出来,按代码逻辑走一遍
1
2
3
4
5
6
7
8
9
10
11
12
13
14
15
16
17
18
19
20
21
22
23
24
25
26
27
28
29
30
31
32
33
34
class Solution:
def findWords(self, board: List[List[str]], words: List[str]) -> List[str]:
self.res = set()
self.end_word = '#'
self.dx = [-1,1,0,0]
self.dy = [0,0,-1,1]
root = {}
for w in words:
node = root
for char in w:
node = node.setdefault(char, {})
node[self.end_word] = self.end_word
for i in range(len(board)):
for j in range(len(board[0])):
if board[i][j] in root:
self.search(board, i, j, '', root)
return list(self.res)
def search(self, board, i, j, cur_str, cur_dict):
cur_str += board[i][j]
cur_dict = cur_dict[board[i][j]]
if self.end_word in cur_dict:
self.res.add(cur_str)
tmp, board[i][j] = board[i][j], '@'
for k in range(4):
m, n = i + self.dx[k], j + self.dy[k]
if 0 <= m < len(board) and 0 <= n < len(board[0]) and board[m][n] in cur_dict and board[m][n] != '@':
self.search(board, m, n, cur_str, cur_dict)
board[i][j] = tmp
位运算
Leetcode 相关题目:191,231,338
231. 2 的幂
1
2
3
def isPowerOfTwo(self, n: int) -> bool:
if n <= 0: return False
return n & (n-1) == 0
1
2
3
4
5
6
7
8
def isPowerOfTwo(self, n: int) -> bool:
if n <= 0: return False
if n == 1: return True
while abs(n) > 2:
if n % 2 != 0:
return False
n = n / 2
return True
算法
Sort
堆排序
思考过程:首先将数组映射成树结构
- 构建最大堆:从根节点开始,找出两个子节点中更大的节点,将其与根节点交换。将新的孩子节点作为根节点递归该过程。直到叶子节点。
- 从树结构高于叶子节点的层级开始,依次构建最大堆。
- 将根节点与末尾叶节点交换,重新构建最大堆,再次交换,递归。
实现关键点:
for 循环是逆序从大到小,从后往前遍历数组,构建最大堆以及交换最大值。
1
2
3
4
5
6
7
8
9
10
11
12
13
14
15
16
17
18
19
20
21
22
23
24
def heapSort(num):
def shiftDown(start, end):
root = start
while True:
child = root * 2 + 1 # root start from zero
if child > end:
break
if child < end and num[child] < num[child+1]: # find the max child
child = child + 1
if num[root] < num[child]:
num[root], num[child] = num[child], num[root]
root = child
else:
break
for start in range((len(num)-1)//2,-1,-1):
shiftDown(start, len(num)-1)
for end in range(len(num)-1, 0, -1):
num[0],num[end] = num[end], num[0]
shiftDown(0,end-1)
return num
冒泡|选择|快排|插入
1
2
3
4
5
6
7
8
9
10
11
12
13
14
15
16
17
18
19
20
21
22
23
24
25
26
27
28
29
30
31
32
33
34
35
36
37
38
39
40
41
42
43
44
45
46
47
48
def exchange(a,b):
c = a
a = b
b = c
return a,b
def bubbleSort(num):
for i in range(len(num)):
for j in range(0,len(num)-1-i):
print(num[j],num[j+1])
if num[j] > num[j+1]:
num[j],num[j+1] = exchange(num[j],num[j+1])
return num
def selectSort(num):
for i in range(len(num)):
m = num[i]
for j in range(i,len(num)):
if num[j] < m:
num[j],m = m, num[j]
num[i] = m
return num
def quickSort(num,beg,end):
flag = num[end-1]
i = beg -1
for j in range(beg, end-1):
if num[j] < flag:
i+=1
num[j], num[i] = exchange(num[j], num[i])
num[end - 1], num[i + 1] = exchange(num[end-1],num[i+1])
mid = i+1
print(num,"str",beg,mid,end)
if mid == beg or mid == end :
return
quickSort(num,beg,mid)
quickSort(num,mid+1, end)
return num
def insertSort(num):
for i in range(1,len(num)):
unsort = num[i]
j = i - 1
while j >= 0 and num[j] > unsort:
num[j+1] = num[j]
j -= 1
num[j+1] = unsort
return num
归并排序
二元归并:将数组不断拆分成两部分,直到数组元素只有一个,然后开始归并,归并时使用两个指针指向左右数组,将更小的数放到归并后的数组中,指针前进,直到某个数组指针移动到最后一位。
拆分时使用递归,拆成一个数之后,合并,在继续合并。
1
2
3
4
5
6
7
8
9
10
11
12
13
14
15
16
17
18
19
20
21
22
23
24
25
def mergeSort(num):
if len(num) <= 1:
return num
mid = int(len(num) / 2)
left = mergeSort(num[:mid])
right = mergeSort(num[mid:])
return merge(left,right)
def merge(left,right):
arr = []
i,j = 0,0
while i < len(left) and j < len(right):
if left[i] > right[j]:
arr.append(right[j])
j += 1
else:
arr.append(left[i])
i+=1
if j == len(right):
for k in left[i:]:
arr.append(k)
if i == len(left):
for k in right[j:]:
arr.append(k)
return arr
递归&分冶
分冶:分为互不相关的子问题,能够使用并行计算
50. Power(x,n)
负数的小数次方无法计算,所以需要判断奇偶,单独处理奇数的情况。
1
2
3
4
5
6
7
class Solution:
def myPow(self, x: float, n: int) -> float:
if n <= 2:
return x ** n
if n % 2 :
return self.myPow(x, (n-1)/2) ** 2 * x
return self.myPow(x, n/2) ** 2
贪心算法
- 贪心算法只考虑眼前最优解,是目光短浅吗?(取决于怎么定义最优?)
122. 买卖股票的最佳时机 II
思路:
1
2
3
4
5
6
class Solution:
def maxProfit(self, prices: List[int]) -> int:
maxp = 0
for i in range(len(prices)-1):
maxp += max(0, prices[i+1]-prices[i])
return maxp
宽度优先搜索
算法起源:在树(图/集合)中查找某个特定元素,存储的元素可以表示现实生活中的任一事物。
1
2
3
4
5
6
7
8
9
10
11
12
def BFS(graph,start, node):
queue = []
queue.append(start)
visited = []
while queue:
node = queue.pop()
visited.append(node)
process(node)
nodes = generated_related_node(node)
queue.push(nodes)
无递归写法
深度优先搜索
计算机原生的结构使用栈,递归时也是用栈。(写法见下题)
102. 二叉树的层序遍历
思路一:使用双端队列,分层遍历,level_size 控行
(如果结构是图,需要用visited 标识)
1
2
3
4
5
6
7
8
9
10
11
12
13
14
15
16
17
18
19
20
21
22
23
24
25
26
27
28
# Definition for a binary tree node.
# class TreeNode:
# def __init__(self, val=0, left=None, right=None):
# self.val = val
# self.left = left
# self.right = right
class Solution:
def levelOrder(self, root: Optional[TreeNode]) -> List[List[int]]:
if not root: return []
queue = **collections.deque()**
res = []
queue.append(root)
while queue:
level_size = len(queue)
current_level = []
for _ in range(level_size):
node = queue.popleft()
if node.left: queue.append(node.left)
if node.right: queue.append(node.right)
current_level.append(node.val)
res.append(current_level)
return res
思路二:dfs,res做全局变量,每调用一次dfs,层级加深一层,将上一层的层级传入作为参数
1
2
3
4
5
6
7
8
9
10
11
12
13
14
15
class Solution_dfs_100:
def levelOrder(self, root: Optional[TreeNode]) -> List[List[int]]:
if not root: return []
self.res = []
self.dfs(root, 0)
return self.res
def dfs(self, root: Optional[TreeNode], level):
if not root: return None
if len(self.res) < level + 1:
self.res.append([])
self.res[level].append(root.val)
self.dfs(root.left, level+1)
self.dfs(root.right, level+1)
111. 二叉树的最小深度| 略
104. 二叉树的最大深度 | 略
剪枝
22. 括号生成
递归条件判断:右括号小于左括号数量时,才能增加右括号。
1
2
3
4
5
6
7
8
9
10
11
12
13
14
class Solution:
def generateParenthesis(self, n: int) -> List[str]:
self.list = []
self.gen(0,0,n,"")
return self.list
def gen(self,left, right, n, res):
if left == n and right == n:
self.list.append(res)
return
if left < n:
self.gen(left+1, right, n, res+'(')
if right < left and right < n:
self.gen(left, right+1, n, res+')')
*51.N皇后问题
1
2
3
4
5
6
7
8
9
10
11
12
13
14
15
16
17
18
19
20
21
22
23
24
25
26
27
class Solution:
def solveNQueens(self, n: int) -> List[List[str]]:
if n < 1: return []
self.col, self.pie, self.na = set(), set(), set()
self.res = []
self.DFS(0, n, [])
return [['.' * i + 'Q' + (n-i-1)*'.' for i in col] for col in self.res]
def DFS(self, row, n, cur_state):
if row >= n:
self.res.append(cur_state)
return
for col in range(n):
if col in self.col or col+row in self.na or row-col in self.pie:
continue
self.col.add(col)
self.pie.add(row-col)
self.na.add(row+col)
self.DFS(row+1,n,cur_state+[col])
self.col.remove(col)
self.pie.remove(row-col)
self.na.remove(row+col)
*36. 数独问题 | 超出时间限制
1
2
3
4
5
6
7
8
9
10
11
12
13
14
15
16
17
18
19
20
21
22
23
24
25
26
27
28
29
30
31
# 超出时间限制
class Solution:
def solveSudoku(self, board: List[List[str]]) -> None:
"""
Do not return anything, modify board in-place instead.
"""
self.solver(board)
def solver(self, board:List[List[str]]) -> bool:
for i in range(9):
for j in range(9):
if board[i][j] != '.':
continue
# if board[i][j] == '.':
for k in range(1,10):
if self.checkValid(board, i, j, str(k)):
board[i][j] = str(k)
print(board)
if self.solver(board):
return True
board[i][j] = '.'
return False
return True
def checkValid(self, board, row, col, c):
for i in range(9):
if board[i][col] == c: return False
if board[row][i] == c: return False
if board[3*(row//3) + i//3][3*(col//3)+ i%3] == c: return False
return True
二分查找
排好序的数组才适用
1
2
3
4
5
6
7
8
9
10
11
12
13
14
class Solution:
def search(self, nums: List[int], target: int) -> int:
if not nums:return -1
l, r = 0, len(nums)-1
while l <= r:
mid = int((l+r)/2)
print(mid)
if target == nums[mid]:
return mid
if target < nums[mid]:
r = mid - 1
if target > nums[mid]:
l = mid + 1
return -1
69.sqrt()
1
2
3
4
5
6
7
8
9
10
11
12
13
#返回整数
def mySqrt(self, x: int) -> int:
if x == 0: return 0
if x < 4: return 1
l, r = 0, x/2
while l <= r:
mid = int((l + r) / 2)
if mid * mid <= x < (mid+1) * (mid+1):
return mid
if mid * mid > x:
r = mid - 1
else:
l = mid + 1
1
2
3
4
5
6
7
8
9
10
11
12
13
14
15
# 返回浮点数
def mySqrt(x: int):
if x == 0 or x == 1: return x
l, r = 0, x
while l <= r:
mid = (l + r) / 2
print(mid, abs(x - (mid * mid)))
if abs(x - (mid * mid)) < 1e-5:
return mid
if mid * mid > x:
r = mid
else:
l = mid
print(mySqrt(2))
动态规划| Daynamic Programming(动态递推)
例子 | 斐波拉契数列
用动态规划来解斐波拉契数列(转移方程比较简单)
例子 | 最短路径
问题:从起点到终点最小步数,只能向上下左右移动。 思路:能够到达终点的是右边和下边的格子,拆解为 min(down,right) + 1, 而后续每个格子都能如此拆解。为了避免重复计算,从终点开始推起,写出终点附近每个格子的最小步数,依次递推。
- 当回溯避免重复计算,贪心不知考虑眼前利益时,结合起来就是动态规划
- 记录最优子结构,全盘规划,能获得最优解。
120. 三角形最小路径和
自底向上,不断选最小值累加,res 代表计算到的当前行的累积最小值。
1
2
3
4
5
6
7
8
class Solution:
def minimumTotal(self, triangle: List[List[int]]) -> int:
if not triangle: return 0
res = triangle[-1]
for i in range(len(triangle)-2, -1, -1):
for j in range(len(triangle[i])):
res[j] = min(res[j], res[j+1]) + triangle[i][j]
return res[0]
递归解法:
1
2
3
4
5
6
7
8
class Solution:
def minimumTotal(self, triangle: List[List[int]]) -> int:
if not triangle: return 0
def dfs(i, j):
if i == len(triangle) - 1:
return triangle[i][j]
return min(dfs(i+1, j), dfs(i+1, j+1)) + triangle[i][j]
return dfs(0,0)
120. 最小乘积
1
2
3
4
5
6
7
8
9
10
11
class Solution:
def maxProduct(self, nums: List[int]) -> int:
if not nums: return 0
res_max = [0] * len(nums)
res_min = [0] * len(nums)
res_max[0], res_min[0] = num[0], num[0]
for i in range(1, len(nums)):
res_max[i] = max(res_max[i-1] * nums[i], nums[i], res_min[i-1] * nums[i])
res_min[i] = min(res_max[i-1] * nums[i], nums[i], res_min[i-1] * nums[i])
return max(max(res_min), max(res_max))
股票相关题目:121、122、123、309、188、714
121. 股票买卖 1次
1
2
3
4
5
6
7
8
class Solution:
def maxProfit(self, prices: List[int]) -> int:
min_price = int(1e9)
max_profit = 0
for price in prices:
max_profit = max((price - min_price), max_profit)
min_price = min(min_price, price)
return max_profit
用DP思路解决这一系列问题
123 股票交易两次
1
2
3
4
5
6
7
8
9
10
11
12
13
14
15
16
17
18
class Solution:
def maxProfit(self, prices: List[int]) -> int:
n = len(prices)
buy1 = [0 for _ in range(n)]
buy2 = [0 for _ in range(n)]
sell1 = [0 for _ in range(n)]
sell2 = [0 for _ in range(n)]
buy1[0] = buy2[0] = -prices[0]
sell1[0] = sell2[0] = 0
for i in range(1,n):
buy1[i] = max(buy1[i-1], - prices[i])
sell1[i] = max(sell1[i-1], buy1[i-1] + prices[i])
buy2[i] = max(buy2[i-1], sell1[i-1]-prices[i])
sell2[i] = max(sell2[i-1], buy2[i-1]+prices[i])
res = sell2[n-1]
return res
188. 股票交易 K次
1
2
3
4
5
6
7
8
9
10
11
12
13
14
15
16
17
18
19
20
class Solution:
def maxProfit(self, k: int, prices: List[int]) -> int:
if not prices: return 0
n = len(prices)
k = min(k, n // 2)
buy = [[0] * (k+1) for _ in range(n)]
sell = [[0] * (k+1) for _ in range(n)]
buy[0][0], sell[0][0] = -prices[0], 0
for i in range(1, k+1):
buy[0][i] = sell[0][i] = float("-inf")
for i in range(1, n):
buy[i][0] = max(buy[i-1][0], - prices[i])
for j in range(1, k+1):
buy[i][j] = max(buy[i-1][j], sell[i-1][j] - prices[i])
sell[i][j] = max(sell[i-1][j], buy[i-1][j-1] + prices[i])
print(buy)
print(sell)
return max(sell[n-1])
例子:price = [3,2,6,5,0,3], k=2
计算过程:
buy:[[-3, -inf, -inf], [-2, -inf, -inf], [-2, -7, -inf], [-2, -1, -inf], [0, 4, -2], [0, 4, -2]]
sell: [[0, -inf, -inf], [0, -1, -inf], [0, 4, -inf], [0, 4, -2], [0, 4, -1], [0, 4, 7]]
列出DP数组能便于理解。
322. 零钱兑换
1
2
3
4
5
6
7
8
9
10
11
12
class Solution:
def coinChange(self, coins: List[int], amount: int) -> int:
dp = [float('inf')] * (amount + 1)
dp[0] = 0
for num in range(1, amount+1):
for coin in coins:
if coin > num:
continue
dp[num] = min(dp[num-coin]+1, dp[num])
return dp[amount] if dp[amount] != float('inf') else -1
72. 编辑距离
1
2
3
4
5
6
7
8
9
10
11
12
13
14
15
16
class Solution:
def minDistance(self, word1: str, word2: str) -> int:
m, n = len(word1), len(word2)
dp = [[0 for _ in range(m+1)] for _ in range(n+1)]
for i in range(m+1): dp[0][i] = i
for j in range(n+1): dp[j][0] = j
for i in range(1,n+1):
for j in range(1,m+1):
if word1[j-1] == word2[i-1]:
dp[i][j] = min(dp[i-1][j]+1, dp[i][j-1]+1, dp[i-1][j-1])
else:
dp[i][j] = min(dp[i-1][j], dp[i][j-1], dp[i-1][j-1]) +1
return dp[n][m]
总结:
找到最优子结构
状态定义,画出dp表格,得到状态转移方程
找到初始化方式
并查集| union & find
在分布式系统、比特币网络及google 的mapreduce中经常使用。
合并优化方式:
实现 | TODO
200. 岛屿数量
思路一:DFS
深度优先搜索次数即为岛屿数量,每次遍历后将1修改为0,避免重复计数
1
2
3
4
5
6
7
8
9
10
11
12
13
14
15
16
17
18
19
20
21
22
23
class Solution:
def dfs(self, grid:List[List[str]], row, col) -> list[list[str]]:
grid[row][col] = 0
m = len(grid)
n = len(grid[0])
for x, y in [(row-1, col), (row+1, col), (row, col-1), (row, col+1)]:
if 0 <= x < m and 0 <= y < n and grid[x][y] == '1':
self.dfs(grid, x, y)
def numIslands(self, grid:List[List[str]]) -> int:
m = len(grid)
n = len(grid[0])
cnt = 0
for i in range(m):
for j in range(n):
if grid[i][j] == '1':
self.dfs(grid, i, j)
cnt += 1
return cnt
思路二:并查集 | TODO
用并查集的方式实现?
LRU Cache | Least Recently Used
缓存结构:
LRU:缓存替换算法,通常使用双向链表来实现,查询修改更新:O(1) 【cache 一般只查询第一个元素】
LFU | Least Frequently Used
146. LRU 缓存实现 | TODO
布隆过滤器 | Bloom Filter
在网络中使用很多,比如高并发系统,分布式系统,比特币网络等。 和哈希映射类似,布隆过滤器将元素通过映射函数映射到二进制向量,比如一个integer就是32位二进制向量。相比其他算法,布隆过滤器的空间和时间效率都非常高,但缺点在于会有一定的查询错误率和删除困难,这里的错误率是指查询结果为在向量中,当元素不在向量中时,是能够完全正确的判断的,这也是会使用该算法的场景。
可以理解为,将不存在的元素过滤到,但后面需要跟一个完备的数据存储系统,查询到存在的元素还需要再数据系统中验证。
在比特币系统中,在客户端查询交易记录时,由于区块的数量过多,现在已经有几十万个区块了,每个区块里又有大量数据,所以在每个区块前加 bloom filter,只有在确定交易记录存在这个区块时,才会到该区块查询。在分布式系统中,验证子任务是否存在某台机器上,也使用了 bloom filter。类似需要排除大量数据的场景都可以使用 bloom filter。
五个代码模版
python 常用函数
数据结构操作
1
2
3
4
5
6
7
8
9
10
11
12
13
14
15
16
17
字典:
hash_map = dict()
hash_map["kk"] = a
print(hash_map["kk"])
初始化: tinydict = {'a': 1, 'b': 2, 'b': '3'}
集合:
s = set()
s.add("aa")
s.remove("aa")
s.clear()
len(s)
if "aa" in s:
字符串:
删除:
s = s[:i] + s[i+1:]
进制转换
10进制转16进制:hex()
16进制转 10 进制:int(x, 16)
2进制转 10进制:int(x, 2)
2进制转 16进制:hex(int(x,2))
10进制转 2进制:bin()
转为 8 进制:oct()
Reference










































